Hawking en mil palabras: cómo los agujeros negros brillan
El legado de un descubrimiento que cambió la física moderna

Stephen Hawking revolucionó la comprensión del cosmos cuando demostró que los agujeros negros no son completamente negros. En 1974, el físico británico predijo que estos colosos cósmicos emiten una débil radiación térmica. Esta radiación es hoy conocida como radiación de Hawking. Esto desafía la idea clásica de que nada puede escapar de su atracción gravitatoria.
El reciente estudio del físico chileno Jorge Pinochet, publicado en arXiv bajo el título “Hawking in a Thousand Words”, ofrece una forma extraordinariamente accesible de entender este fenómeno. El trabajo traduce el complejo razonamiento matemático de Hawking a un lenguaje que incluso un estudiante avanzado de secundaria puede seguir. Lo hace utilizando solo álgebra básica.
El misterio del “vacío cuántico”
Antes de Hawking, se asumía que los agujeros negros eran objetos sin emisión alguna: auténticos sumideros de materia y energía. Pero la mecánica cuántica cuenta otra historia. Según el principio de incertidumbre de Heisenberg, el vacío no está realmente vacío. En él surgen y desaparecen pares de partículas virtuales —una partícula y su antipartícula— en lapsos brevísimos de tiempo.
Pinochet retoma esta idea para explicar la radiación de Hawking: cerca del horizonte de un agujero negro, las intensas fuerzas gravitatorias pueden separar estos pares cuánticos. Una de las partículas cae al interior del agujero. Al mismo tiempo, la otra escapa al espacio exterior, convirtiéndose en una partícula real que el observador detecta como radiación térmica.
Del principio de incertidumbre al calor del cosmos
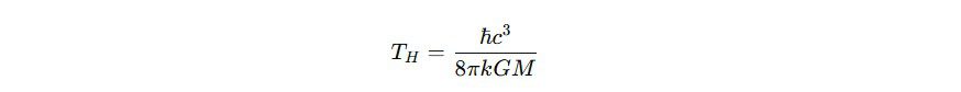
El trabajo muestra cómo, partiendo de relaciones físicas simples, puede obtenerse la temperatura de Hawking, expresada por la ecuación:

donde M es la masa del agujero negro y las demás letras representan constantes fundamentales (Planck, Boltzmann, Newton, velocidad de la luz).
Esta temperatura es increíblemente baja para agujeros negros grandes, pero crece a medida que su masa disminuye. En teoría, los agujeros negros más pequeños podrían evaporarse completamente con el tiempo, liberando energía en el proceso.
La genialidad de Hawking, al alcance de todos
La fuerza del artículo de Pinochet reside en su claridad pedagógica: demuestra que incluso uno de los logros intelectuales más profundos del siglo XX puede explicarse sin recurrir al formalismo avanzado de la relatividad general o la teoría cuántica de campos.
Más que un simple ejercicio didáctico, este trabajo es un homenaje al pensamiento de Hawking y una invitación a acercarse al corazón de la física moderna. Entender cómo un agujero negro puede emitir luz es, en el fondo, comprender que el universo —como decía Hawking— permite que incluso la oscuridad brille.
📘 Referencia:
Jorge Pinochet (2025), Hawking in a Thousand Words, Universidad Metropolitana de Ciencias de la Educación, Santiago de Chile. arXiv:2510.21790v1
Suscribete ahora a la Newsletter para recibir noticias espaciales de última hora ✨, lanzamientos de cohetes🚀, búsqueda de vida fuera de la Tierra 👽, entretenimiento 🎬, eventos de observación del cielo 🔭 y mucho más...
![]()


